  | 
                
                    
                 | 
                
                
                 
                    
                    
                    
                 
                
                
                 | 
                 
             
    
        
    
 
	
	
		
	
	
  
    
    
    
      
                  | 
            
      
              
               New Member 
              
              
              
              
       | 
        | 
      
                
               
                
                  
                      Nov 23, 2009, 10:28 AM
                  
                 
       | 
     
     
    
   | 
 
  
    | 
    
    
       
        
        
        
       
    
    
      
      
        
        Adjusting Entry Project Difficulty
       
      
    
    
    
                  
        I am currently working on my accounting project. I am doing adjusted entries, and can't seem to get my accounts to balance. I know I am doing something wrong. I was wondering if someone could tell me what I am doing right. My balance keeps ending at $83, 278. But my professor says it should be at $115,803. Can someone please tell me where I am messing up? 
 
a.	On May 1, 2008 a 12-month insurance policy was purchased for $12,000. 
Prepaid Insurance Exp. 8000 
                    Prepaid Insurance 8000 
 
b.	On June 1, 2008, Marchand & Co. paid Gretsky Advertising $36,000 for one year of advertising services.     
Advertising Expense 21,000 
                   Advertising     21,000 
 
c.	Marchand & Co. needed some additional storage space so on February 1, 2008 they rented a unit for an annual rate of $16,000.  The entire amount was expensed when paid. 
Rent Expense 13,334 
        Prepaid Rent  13,334 
  
d.	$4,250 of store supplies were purchased during the year and the asset store supplies was increased.  $3,750 of these supplies was used during the year. 
Store Supplies Expense 3750 
                          Supplies    3750 
     
e.	$7,500 of office supplies were purchased during the year and were immediately expensed.  $1,250 of these supplies remained at the end of 2008.   
Office Supplies Expense 1250 
                 Office Supplies     1250 
 
f.	On July 1, 2008, Marchand & Co. issued a 9-month note receivable to Shanahan & Co. at an annual interest rate of 7%.  Principal and interest will be paid at the end of the 9-month period.  The note was recorded in Notes Receivable and is the only note outstanding. 
Interest receivable 1494 
    Interest Revenue       1494 
 
g.	Depreciation for the year is based on the following:  
•	Straight line depreciation 
•	Store equipment – Assets were held for the entire year; Residual Value = $3,000; Service life is estimated to be 5 years. 
Accum. Dep-Store  7300 
      Depreciation Exp      7300 
 
•	Office equipment – Assets were held for the entire year; Residual Value = $3,000; Service life is estimated to be 5 years. 
(No adjustment) 
 
h.	Sales salaries of $3,200 and office salaries of $5,800 remained unpaid at 12/31/08 
Sales Salaries Expense 3200 
Office Salaries Expense 5800 
                 Salaries Payable 9000 
 
I.	On October 1, 2008, Marchand & Co. rented a portion of one store to Twist & Chase Co.  The contract was for 6 months and Marchand & Co. required the 6 months of cash upfront on October 1st.  The rent is being earned equally over the next 6 months. When cash was received, unearned rent was appropriately recorded. ($16,000) 
Unearned Revenue 8000 
     Rent Revenue          8000 
  
j.	The note payable was outstanding the entire year and a 4.75% interest rate exists on the note.  No interest has been recorded for the year. ($140,000) 
Interest Expense 6650 
    Interest Payable    6650 
 
k.	At 12/31/2008, based on the aging method, Marchand & Co. determines that uncollectible accounts are $5,500. (Uncollectible acct already has a $2000 balance) 
 
Bad Debt Expense 3500 
     Uncollectible Accounts 3500 
 
The acct balances before adjusting entries are attached. PLEASE HELP ME. I DO NOT KNOW WHAT I AM DOING WRONG!
     
     
    
      
      
    
    
    
    
    
    
    
  
   | 
 
    | 
        
                
      
       
        
         
     | 
 
 
	 
	
		 
	 
 
	
	
		
	
	
  
    
    
    
      
                  | 
            
      
              
               Senior Member 
              
              
              
              
       | 
        | 
      
                
               
                
                  
                      Nov 23, 2009, 11:05 AM
                  
                 
       | 
     
     
    
   | 
 
  
    | 
    
    
       
        
        
        
       
    
    
    
    
                  
        Here's a few hints...  
 
First, make it clear which are debits, and which are credits. Note that spacing and indenting usually doesn't translate well in a forum format, so try putting "dr" and "cr" before the amounts. 
 
For item (c), the company ends the year with one month to go on the lease, for which it's already paid. So your AJE needs to remove one month's worth of the total from expense, and put it onto the balance sheet as a prepaid. 
 
On item (f), 6 months of 7% interest on a 32K note is 1,120. 
 
For (g), the store equipment's depreciation (straight-line, 5 years, 3K residual), one year of depreciation is (168K - 3K) / 5 = 33,000. Depreciation on the office equipment will be computed similarly.
     
     
    
    
    
    
    
    
  
   | 
 
    | 
        
                
      
       
        
         
     | 
 
 
	 
	
		 
	 
 
	
	
		
	
	
  
    
    
    
      
                  | 
            
      
              
               New Member 
              
              
              
              
       | 
        | 
      
                
               
                
                  
                      Nov 23, 2009, 11:42 AM
                  
                 
       | 
     
     
    
   | 
 
  
    | 
    
    
       
        
        
        
       
    
    
    
    
                  
        Thank you so much! Would the answer to (c) be: 
Rent Expense 14,667 (DR) 
Prepaid Rent 14,667 (CR) 
 
And g (office) 
Acc. Dep (Office) 17,200 (DR) 
Dep. Exp (Office) 17,200 (CR)
     
     
    
    
    
    
    
    
  
   | 
 
    | 
        
                
      
       
        
         
     | 
 
 
	 
	
		 
	 
 
	
	
		
	
	
  
    
    
    
      
                  | 
            
      
              
               Senior Member 
              
              
              
              
       | 
        | 
      
                
               
                
                  
                      Nov 23, 2009, 12:49 PM
                  
                 
       | 
     
     
    
   | 
 
  
    | 
    
    
       
        
        
        
       
    
    
    
    
                  
        For (c) note that the company has already debited the full 12 months' worth of rent expense to, well, Rent Expense. You can see that "Rent Expense" is sitting down there with the $16,000 in it as a debit. 
 
As of Dec 31, 11/12 of that amount is fine just where it is. The company entered into the lease on Feb 1, and so by the end of the year, 11 months of the lease have expired, meaning that 11/12 of the original $16,000 payment is now an expense. But 1/12 of that amount is not an expense yet, because it is allocable to January of 2009. 
 
In order to fix what they've done, you need to remove just 1 month of expense and put it onto the balance sheet as an asset ("Prepaid Rent"). To remove it from Rent Expense will require a credit, since the balance is currently a debit. 
 
On the second one, your dollar amount is correct, but remember that Depreciation Expense is normally a debit, while Accumulated Dep is a credit.
     
     
    
    
    
    
    
    
  
   | 
 
    | 
        
                
      
       
        
         
     | 
 
 
	 
	
		 
	 
 
	
	
		
	
	
  
    
    
    
      
                  | 
            
      
              
               New Member 
              
              
              
              
       | 
        | 
      
                
               
                
                  
                      Nov 23, 2009, 08:20 PM
                  
                 
       | 
     
     
    
   | 
 
  
    | 
    
    
       
        
        
        
       
    
    
    
    
                  
        Okay, I think I *might* have it now. Can you please check my adjusting entries? 
 
 
 
a. On May 1, 2008 a 12-month insurance policy was purchased for $12,000. 
Prepaid Insurance Exp. 8000 (DR) 
Prepaid Insurance 8000 (CR) 
 
b. On June 1, 2008, Marchand & Co. paid Gretsky Advertising $36,000 for one year of advertising services.  
Advertising Expense 21,000 (DR) 
Advertising 21,000 (CR) 
 
c. Marchand & Co. needed some additional storage space so on February 1, 2008 they rented a unit for an annual rate of $16,000. The entire amount was expensed when paid. 
Prepaid Rent 1334 (DR) 
Rent Expense 1334 (CR) 
 
d. $4,250 of store supplies were purchased during the year and the asset store supplies was increased. $3,750 of these supplies was used during the year. 
Store Supplies Expense 3750 (DR) 
Supplies 3750 (CR) 
 
e. $7,500 of office supplies were purchased during the year and were immediately expensed. $1,250 of these supplies remained at the end of 2008.  
Office Supplies Expense 1250 (DR) 
Office Supplies 1250 (CR) 
 
f. On July 1, 2008, Marchand & Co. issued a 9-month note receivable to Shanahan & Co. at an annual interest rate of 7%. Principal and interest will be paid at the end of the 9-month period. The note was recorded in Notes Receivable and is the only note outstanding. 
Interest receivable 1120 (DR) 
Interest Revenue 1120 (CR) 
 
g. Depreciation for the year is based on the following:  
• Straight line depreciation 
• Store equipment – Assets were held for the entire year; Residual Value = $3,000; Service life is estimated to be 5 years. 
Depreciation Store Expense 33000 (DR) 
Accum. Dep-Store 33000 (CR) 
 
• Office equipment – Assets were held for the entire year; Residual Value = $3,000; Service life is estimated to be 5 years. 
Depreciation Office Expense 17200 (DR) 
Accum. Dep-Office 17200(CR) 
 
 
 
h. Sales salaries of $3,200 and office salaries of $5,800 remained unpaid at 12/31/08 
Sales Salaries Expense 3200 (DR) 
Office Salaries Expense 5800 (DR) 
Salaries Payable 9000 (CR) 
 
I. On October 1, 2008, Marchand & Co. rented a portion of one store to Twist & Chase Co. The contract was for 6 months and Marchand & Co. required the 6 months of cash upfront on October 1st. The rent is being earned equally over the next 6 months. When cash was received, unearned rent was appropriately recorded. ($16,000) 
Unearned Revenue 8000 (DR) 
Rent Revenue 8000 (CR) 
 
j. The note payable was outstanding the entire year and a 4.75% interest rate exists on the note. No interest has been recorded for the year. ($140,000) 
Interest Expense 6650 (DR) 
Interest Payable 6650 (CR) 
 
k. At 12/31/2008, based on the aging method, Marchand & Co. determines that uncollectible accounts are $5,500. (Uncollectible acct already has a $2000 balance) 
 
Bad Debt Expense 3500 (DR) 
Uncollectible Accounts 3500 (CR) 
 
Thank you so much!
     
     
    
    
    
    
    
    
  
   | 
 
    | 
        
                
      
       
        
         
     | 
 
 
	 
	
		 
	 
 
	
	
		
	
	
  
    
    
    
      
                  | 
            
      
              
               Senior Member 
              
              
              
              
       | 
        | 
      
                
               
                
                  
                      Nov 24, 2009, 06:21 AM
                  
                 
       | 
     
     
    
   | 
 
  
    | 
    
    
       
        
        
        
       
    
    
    
    
                  
        You're certainly on the right track. Have another look at item (e), though. Since the full amount was originally booked to expense, you now want to pull the end-of-year remaining supplies out of expense (cr) and put it into prepaid (dr). 
 
Also, go back on each item and make sure that your journal entries use the exact same name for each account, as the name that appears in the trial balance. 
 
You know which accounts you want your debits and credits to go to, and when your entry says "Uncollectible Accounts", you know that you're thinking of the "Allowance for Doubtful Accounts".  
 
But out there 'in the world', you have accountants entering JEs that other accountants have written up, and still other accountants looking at those JEs as they analyze the financial statements. If everybody sticks to using the same account names consistently, the world just spins a bit smoother.
     
     
    
    
    
    
    
    
  
   | 
 
    | 
        
                
      
       
        
         
     | 
 
 
	 
	
		 
	 
 
	
	
		
	
	
  
    
    
    
      
                  | 
            
      
              
               New Member 
              
              
              
              
       | 
        | 
      
                
               
                
                  
                      Nov 24, 2009, 09:03 AM
                  
                 
       | 
     
     
    
   | 
 
  
    | 
    
    
       
        
        
        
       
    
    
    
    
                  
        So, for (e.) would I flip flop what I have already done? 
 
e. $7,500 of office supplies were purchased during the year and were immediately expensed. $1,250 of these supplies remained at the end of 2008. 
Office Supplies 1250 (DR) 
Office Supplies Expense 1250 (CR) 
 
Other than that does everyone seem to be correct? And by the way, thank you again for helping me!
     
     
    
    
    
    
    
    
  
   | 
 
    | 
        
                
      
       
        
         
     | 
 
 
	 
	
		 
	 
 
	
	
		
	
	
  
    
    
    
      
                  | 
            
      
              
               Senior Member 
              
              
              
              
       | 
        | 
      
                
               
                
                  
                      Nov 24, 2009, 09:25 AM
                  
                 
       | 
     
     
    
   | 
 
  
    | 
    
    
       
        
        
        
       
    
    
    
    
                  
        Now you got it. And you've very welcome... glad to help.
     
     
    
    
    
    
    
    
  
   | 
 
    | 
        
                
      
       
        
         
     | 
 
 
	 
	
		 
	 
 
	
	
		
	
	
  
    
    
    
      
                  | 
            
      
              
               Uber Member 
              
              
              
              
       | 
        | 
      
                
               
                
                  
                      Nov 27, 2009, 12:53 AM
                  
                 
       | 
     
     
    
   | 
 
  
    | 
    
    
       
        
        
        
       
    
    
    
    
                  
        
	
		
			
			
				If everybody sticks to using the same account names consistently, the world just spins a bit smoother.
			
		  
	 
 Would that be like an accountant smoothie?
      
     
    
    
    
    
    
    
  
   | 
 
    | 
        
                
      
       
        
         
     | 
 
 
	 
	
		 
	 
 
	
	
		
	
	
  
    
    
    
      
                  | 
            
      
              
               Senior Member 
              
              
              
              
       | 
        | 
      
                
               
                
                  
                      Nov 27, 2009, 06:22 AM
                  
                 
       | 
     
     
    
   | 
 
  
    | 
    
    
       
        
        
        
       
    
    
    
    
                  
        The Accountant Smoothie: Now I'm sure THAT would be the hot ticket at the gym juice bar! :p
     
     
    
    
    
    
    
    
  
   | 
 
    | 
        
                
      
       
        
         
     | 
 
 
	 
	
		 
	 
 
	
	
		
	
	
  
    
    
    
      
                  | 
            
      
              
               New Member 
              
              
              
              
       | 
        | 
      
                
               
                
                  
                      Nov 29, 2009, 11:54 PM
                  
                 
       | 
     
     
    
   | 
 
  
    | 
    
    
       
        
        
        
       
    
    
    
    
                  
         
Sorry to bother you, but I am stuck again! I have passed the adjusting entries, and I am currently making a multiple step income statement. However, I keep getting stuck. I do not see where there is an income tax expense based on the information that I was given (the worksheet). Am I overlooking something, or is there no income tax? 
 
 
Also, I am working on the retained earnings statement as well. Would the beginning balance at Dec. 1 be $114,500 for retained earnings? 
 
Thanks so much, and I am sorry to bother you!
     
     
    
    
    
    
    
    
  
   | 
 
    | 
        
                
      
       
        
         
     | 
 
 
	 
	
		 
	 
 
	
	
		
	
	
  
    
    
    
      
                  | 
            
      
              
               New Member 
              
              
              
              
       | 
        | 
      
                
               
                
                  
                      Nov 29, 2009, 11:58 PM
                  
                 
       | 
     
     
    
   | 
 
  
    | 
    
    
       
        
        
        
       
    
    
    
    
                  
        Oops. Forgot to post my work!
     
     
    
    
    
    
    
    
  
   | 
 
    | 
        
                
      
       
        
         
     | 
 
 
	 
	
		 
	 
 
	
	
		
	
	
  
    
    
    
      
                  | 
            
      
              
               New Member 
              
              
              
              
       | 
        | 
      
                
               
                
                  
                      Nov 30, 2009, 12:11 AM
                  
                 
       | 
     
     
    
   | 
 
  
    | 
    
    
       
        
        
        
       
    
    
    
    
                  
         
 
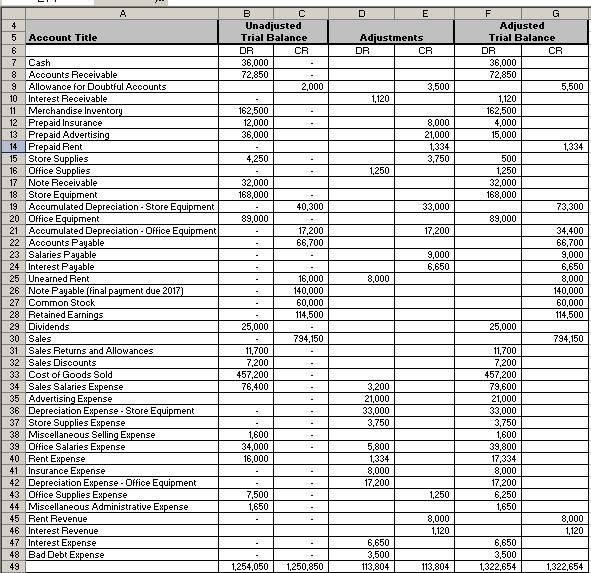
Hope it works this time. Sorry. It looks kind of small, but it is the same worksheet I listed before, this one just has my adjusting entries on it.
      
     
    
    
    
    
    
    
  
   | 
 
    | 
        
                
      
       
        
         
     | 
 
 
	 
	
		 
	 
 
	
	
		
	
	
  
    
    
    
      
                  | 
            
      
              
               Senior Member 
              
              
              
              
       | 
        | 
      
                
               
                
                  
                      Nov 30, 2009, 01:24 PM
                  
                 
       | 
     
     
    
   | 
 
  
    | 
    
    
       
        
        
        
       
    
    
    
    
                  
        For starters, try re-posting your Trial Balance worksheet (you can omit the Income Statement for now). See if you can jack up the size just a bit, to make the numbers more legible. We'll go from there.
     
     
    
    
    
    
    
    
  
   | 
 
    | 
        
                
      
       
        
         
     | 
 
 
	 
	
		 
	 
 
	
	
		
	
	
  
    
    
    
      
                  | 
            
      
              
               New Member 
              
              
              
              
       | 
        | 
      
                
               
                
                  
                      Nov 30, 2009, 08:12 PM
                  
                 
       | 
     
     
    
   | 
 
  
    | 
    
    
       
        
        
        
       
    
    
    
    
     
    
    
    
    
    
    
  
   | 
 
    | 
        
                
      
       
        
         
     | 
 
 
	 
	
		 
	 
 
	
	
		
	
	
  
    
    
    
      
                  | 
            
      
              
               Uber Member 
              
              
              
              
       | 
        | 
      
                
               
                
                  
                      Nov 30, 2009, 11:51 PM
                  
                 
       | 
     
     
    
   | 
 
  
    | 
    
    
       
        
        
        
       
    
    
    
    
                  
         
That's better.  Don't put up whole screens because we really can never read it -- crop it down to just your work. 
 
The adjusting entries are still not correct. 
 
The prepaid rent is still wrong.  First, it rounds to 1333 not 1334.  But the important thing is that by debiting the rent expense you are charging more to rent.  That isn't the idea.  You've already paid the rent up front, so why would there be even more expense than what you've already recorded?  (Given that it was originally charged to rent.) 
 
The goal on deferred accounts (prepaids, supplies, unearneds) is to get the correct balances in the accounts.  They really would be more proper having been recorded into a deferred account so that you can take out the expense/revenue portion rather than the other way around.  However, sometimes they are put into the expense/revenue first and then you have to take something out.  Learning both methods at the same time is a little hogwash if you ask me, cause it's bad enough learning them to begin with. 
 
As example.  Let's say you pay $1000 up front for insurance.  At the end of the year, $700 of it has expired.  That leaves $300 that is not yet expired that belongs to a future year and therefore is still prepaid. 
 
Now, there's two ways to handle this.  But regardless of how I do the initial entry, the GOAL is to end up with $700 of it in the expense account because that's the part that's expired.  And to have $300 in the prepaid account because that's the part that isn't expired and remains there for the future -- hence, still prepaid.  It's imperative that you understand that part, so ask if you don't. 
 
(You might want to do a t account of these examples to get a visual.) 
 
If I originally record it in the prepaid account, that means I have $1000 in there, so I want to remove $700 of it, because that's what has expired, which means it doesn't belong in prepaid anymore and also has to be expensed.  I will end up with $700 in expense and $300 in prepaid, which was my goal.  This is the most typical way of doing it. 
 
Or, if I originally put that $1000 into the expense account, then I need to remove $300 of it, because $700 is the expense and I don't want the other $300 there.  That belongs to the future, so that has to be moved to the prepaid account.  Then that leaves me with $700 in expense and $300 in prepaid, which is the goal. 
 
Notice on one I'm pulling the expensed part out of prepaid, and the other I'm pulling the prepaid part out of the expense.  I have to decide how much I want where and make it happen. 
 
Now go to your prepaid rent.  You did prepay it -- it's already paid.  You're paying no more.  The whole thing was expensed.  But at the end of the year, how much should be expense?  The part that has expired.  So you want a balance in that account of the part that has expired.  You don't want more in there -- you want less cause part of hasn't expired yet. 
 
Furthermore, you want in the prepaid the part that has not expired.  That's the part that belongs to future periods.  How much belongs to future periods? 
 
Not to mention that you shouldn't have a credit balance in a prepaid.  It's an asset and should be a debit.  What's negative prepaid?   
 
I know, long, but you seem to be just trying stuff until you get it right and you need to understand the why's behind it. 
 
Which reminds me -- as to that depreciation.  It looks like you just have a habit of wanting to subtract everything.  Only subtract when it's appropriate.  You aren't trying to land on a certain balance in the accumulated account -- it's not like the deferrals I just described.  It accumulates, meaning it continually adds up.  The balance that was already in there was from last year and is basically irrelevant.  You need to depreciate more for this year and it'll add to it.  That's why your original entries weren't correct. 
 
You said you had "passed" the adjusting entries.  You need to realize that first, just because something balances (i.e. equal debits & credits) doesn't make it correct.  That is nothing but the math -- if everything along the way equals and all math is correct, you'll balance.  Doesn't mean it's right though.  Second, your totals can still come out to a correct check figure and have something wrong.  If you debit the wrong account, you still have that debit in your totals, so it can still total right. 
 
You have the right total (except mine has a 3 on the end not a 4 cause of that rounding thing), but you still have an incorrect entry. 
 
The adj. trial balance total is not right, despite that it balances.  If you fix the rent, that will probably come out. 
 
As for your question about retained earnings.  Yes, that's the beginning balance.  However, you're doing statements for the YEAR, not the month of December, so it's the Jan 1 balance -- that's the beginning of your period.  Nothing has gone directly into retained earnings, so that balance doesn't change throughout the year.  Note that all that affects it are revenues, expenses and dividends, which at the moment are all in their own accounts and haven't affected RE yet.  That's what closing is for.
     
     
    
    
    
    
    
    
  
   | 
 
    | 
        
                
      
       
        
         
     | 
 
 
	 
	
		 
	 
 
	
	
		
	
	
  
    
    
    
      
                  | 
            
      
              
               Uber Member 
              
              
              
              
       | 
        | 
      
                
               
                
                  
                      Nov 30, 2009, 11:53 PM
                  
                 
       | 
     
     
    
   | 
 
  
    | 
    
    
       
        
        
        
       
    
    
    
    
                  
         
P.S.  Are all your expenses supposed to be lumped like that on the income statement?  Not very "multi-step".
     
     
    
    
    
    
    
    
  
   | 
 
    | 
        
                
      
       
        
         
     | 
 
 
	 
	
		 
	 
 
 
 
 
     
  
   
  
  
   
  
  
  
  
  
  
  
  
  
  
  
  
  
  
    | Question Tools | 
    Search this Question | 
   
  
    | 
    
    
    
     | 
    
    
    
    
    
     | 
    
   
   
   
    Add your answer here.
    
    
 
Check out some similar questions!
Journal entry and adjusting entry
 [ 3 Answers ]
Hello: I am new to this site. I am coming across some difficulty with my assignment. If someone can please help me:confused:  
 
1. On may 1st, there was a rent payment for may and June for 4500.  
 
THEN 
 
2. I have an adjusting entry for a $1000 of unearned rent. 
 
Here is the confusing part to...
 
 
What do I debit/credit in journal entry/adjusting entry?
 [ 1 Answers ]
Hi. I am unsure about the correct way to debit/credit these entries. Can someone help me? 
 
Window Washing Company opened on July 1, 2010. During July the following transactions were completed: 
 
July 1	Issued 14,456 shares of common stock for $14,456 cash. 
July 1	Purchased used truck for...
 
 
 
View more  questions
Search
 
 |